视频教程
题库
书籍
搜索
登录
注册
所有课程分类
大学课程
、
研究生课程
大学/研究生课程
基础科学
数学
力学
物理学
化学
天文学
地球科学
生物学
心理学
核科学
农林畜牧
农学
林学
畜牧兽医
水产学
环境资源
安全科学
医学
基础医学
临床医学
预防医学与公共卫生学
药学
中医学与中药学
工程技术
测绘科学
材料科学
矿山工程
冶金工程
机械工程
动力电气
能源科学
计算通讯
电子通信
计算机
纺织科学
食品科学
土木建筑
水利工程
交通运输
航空航天
经济管理
管理学
马克思主义
哲学
宗教学
语言学
文学
艺术学
历史学
考古学
经济学
统计学
社会科学
政治学
法学
军事学
社会学
民族文化
新闻学与传播学
图书馆情报与文献学
教育学
体育科学
推荐课程
一套课程 搞定Java语言
编程C语言 轻松入门课
数铣加工中心编程指令G代码入门
PS中级教程VIP精英进阶班
AI 零基础VIP初级班
学校推荐
编程、设计、IT软件
IT/互联网/计算机
编程语言
C/C++
VC/MFC
JAVA
Python
PHP
脚本语言
Objective-C
常用软件
Photoshop
3Dmax
Illustrator
Flash
Dreamweaver
Maya
Axure
设计制作
平面设计
网站制作
页面设计
游戏设计
三维设计
CG动画
数 据 库
Oracle
SQL Server
MySQL
系统运维
Linux
Vmware
Windows
网络管理
Exchange
移动互联网
Android
IOS
Webapp
产品运营
产品设计
网站编辑
数据分析
策划
其 他
网络安全
嵌入式培训
移动通信
云计算
系统架构
求职、职场、办公软件
求职/职场
求 职
职业规划
求职简历
面试技巧
跳槽
就业指导
职场技能
演讲与口才
自我表现
情绪管理
总结汇报
团队技能
管理技能
企业管理
企业培训
财务/会计
人力资源管理
其他技能
创业
职场礼仪
领导力培训
办公技能
办公软件
word
excel
PPT
Visio
access
WPS
电脑基础
基础操作
电脑培训
电脑选购
软件技术
装机技巧
英语、日语、韩语 、法语
语言学习
英 语
英语口语
英语词汇
英语入门
职场英语
行业英语
职称英语
日 语
日语入门
日语口语
日语考试
日语语法
日语词汇
新标日
大家的日语
韩 语
韩语入门
韩语口语
韩语语法
韩语词汇
韩语考试
法 语
法语入门
法语口语
法语词汇
法语考试
小语种
粤语
德语
西班牙语
汉语
其他
营销、理财、专业技能
金融管理类
金融投资
理财
基金
黄金
股票
期货
保险
管 理 类
工商管理
旅游管理
公共管理
其他
市场/营销
网络营销
SEO
SEM
EDM
SNS
淘宝营销
微信营销
数据库营销
市场销售
电子商务
对外贸易
市场营销
推销/促销
销售
更多技能
医疗保健
中医
西医
临床医学
医药
保健/养生
其 他
师资培训
自动化
电子
文体教育
驾驶技术
会计证、钢琴、建造师
资格考试
财会考试
会计证
会计职称
会计资格
注册会计师
美国会计考试
ACCA
注册税务师
审计师
建造考试
室内设计师
注册建筑师
一级建造师
二级建造师
监理工程师
建筑师
项目管理师
咨询工程师
造价师
金融考试
银行从业资格
经济师
金融分析师
理财规划师
精算师
证券从业资格
医药考试
执业药师
执业医师
护士资格
卫生资格
企业管理类
人力资源师
法律顾问
企业培训师
职业资格类
司法考试
教师资格证
其他
IT类考试
资格认证
软件水平考试
职称考试
其 他
营养师
心理咨询师
秘书资格证
物流师
国考、省考、学历教育
公务员
国 考
申论
行测
面试
省 考
申论
行测
面试
其 他
在职公务员
军转干
公选干
政法干警
更多考试
学历教育
自学考试
成人高考
在职研究生
其他
高考、中考、小升初
中小学
高 中
高一
高二
高三
高考
素质教育
初 中
初一
初二
初三
中考
素质教育
小 学
学前班
一年级
二年级
三年级
四年级
五年级
六年级
小升初
素质教育
品牌专区
新概念
三一口语
剑桥英语
家长专区
早期教育
智慧父母
幼儿里程
亲子共读
能力开发
家庭医生
小学教育
父母教育
家校结合
心理辅导
能力提升
亲子沟通
初中教育
家教艺术
升学择校
成长交流
课业辅导
少男少女
高中教育
高考专题
心理解密
沟通交流
花季雨季
招考指南
青 春 期
沟通交流
心理解密
亲情港湾
考研、四六级、计算机考试
大学生考试
考 研
考研英语
考研数学
考研政治
专业课
复试/调剂
四 六 级
CET-4
CET-6
等级考试
计算机二级
计算机三级
雅思、托福、留学指导
出国留学
留学考试
雅思
托福
GRE
SAT
SSAT
GMAT
AP
留学技巧
留学面试
留学申请
留学择校
留学签证
留学指导
澳洲留学
亚洲留学
欧洲留学
美洲留学
生活、文化、兴趣
文化/生活/兴趣
生活技巧
美食
化妆
服饰
购物
婚恋讲堂
生存逃生
孕妇培训
社交礼仪
其它
文化艺术
国学
文学
美术/绘画
书法
乐器/乐理
音乐
影视
其它
兴趣爱好
摄影
旅游
星座
塔罗牌
动漫
围棋
象棋
游戏
健身
瑜伽
羽毛球
舞蹈
汽车
手工DIY
其他
学术、TED、名校公开课
公开课
TED课程
综合
理工
艺术
趣味
传媒
历史
心理
社会
科技
名校课程
综合
趣味
历史
经管
文艺
理工
传媒
心理
社会
学术学科
社会科学
历史
心理学
宗教
经济学
新闻/传媒
形式科学
数学
数理逻辑
计算机科学
自然科学
自然地理学
天文学
风水学
化学
物理学
生物学
应用科学
运筹学
土木工程
软件工程
首页
热门课程
面向核心素养的信息化教学设计...
人人爱设计(下) — 山东大学
生命科学与伦理 — 西南大学
大学生科技创新课程之中美青年...
最近浏览过的
清除历史记录
首页
大学课程
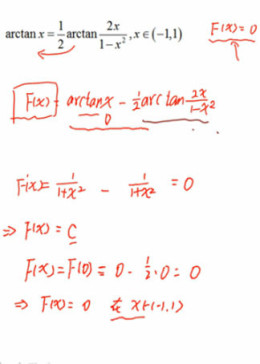
考研数学每日一练
考研数学每日一练
内容简介:
每日一练 坚持就是胜利详细
价格:
免费
课程目录
授课老师
课程评论
课程咨询
课程介绍
考研数学每日一练教育
考研数学每日一练教育
考研数学每日一练教育
课程参数
课程评论
暂无课程评论信息
[发表课程评论]
都显示
只显示标清地址
只显示高清地址
课程咨询
暂无课程咨询信息
[发表课程咨询]